
以前、保護者会で計算練習は自宅でしっかりやってほしいと話をしたことがあります。計算練習をきちんとやっていれば計算力がつくと思っていたからです。しかし、子どもたちの計算の様子を見ているうちに、そんな簡単な話ではないと思うようになりました。前回の続きで筆算の話をします。
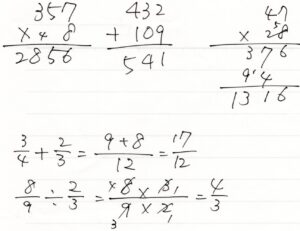
筆算をきれいに書けないとミスを多発します。筆算はきたないものだと思っているようで、ノートやプリントの隅に小さくこちょこちょと筆算を書く子が多いです。そしてよく間違えます。小さい字で斜めに書いて、縦や横がどうなっているのか分かりにくいからです。成績優秀者は、筆算を大きい字ではっきり書きます。
筆算を消したがる子もいますが、筆算は消さないで残しておきましょう。自分のミスがどこで発生したか確認するためです。いちいち消している時間は無駄です。計算用紙を用意しておくのもよい方法ですが、書き方を工夫しないと無駄が多くなります。紙の左上からきちんと書き、たまってきたらそれまでの計算を線で囲むと余白がはっきりして、次の計算が書き込みやすくなります。


プロフィールと最近の投稿はサイドバーで。挿し絵はすべて自作したものです。
